Towers of Hanoi

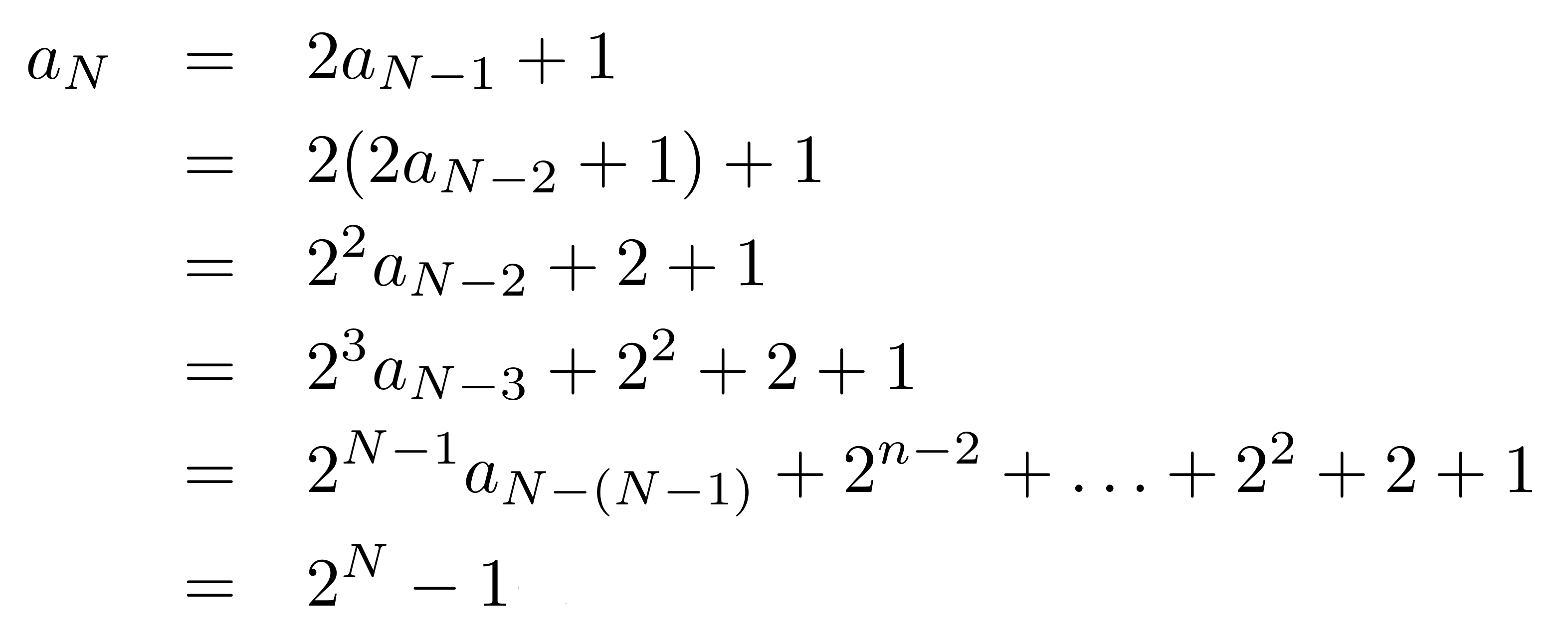
A mathematical puzzle which consists of 3 towers where the goal is to sort the disks in ascending order of size with minimal steps. This was developed using C language in a Linux environment (VNC Viewer). I integrated the recursion algorithm to order the disks as shown in the picture below. Time-complexity was also established for best case to worst case.

My Github